When Does a Wrestler Own Another? - Binomial Hypothesis Testing Made Easy
On day 15 of the 2025 Aki Basho we were treated to a now rare occurrence: two Yokozuna faced each other. Additionally, the stakes could not have been higher; if Onosato won his match he would win the Yusho. If he failed to beat Hoshoryu then he had another shot in the immediate playoff that would result as their records would be tied.
While the two men had different paths there, they found themselves both at the pinnacle of the sport and a reasonable observer might conclude that the odds were 50/50 who would win. But the records showed something different: Hoshoryu had won 6 of their 7 previous matches1. Did he have Onosato’s number? That is to ask if Hoshoryu had some durable advantage over his fellow Yokozuna.
In fact, this is a question we can ask and answer using statistics and at least if we assume that it was a true 50/50, despite the lopsided record we could not assume that Hoshoryu had definitively figured Onosato out. And the results bore this out with the Mongolian (Hoshoryu) taking the first match to force the playoff only to falter and fail to win the Yusho in the second match. The Yokozuna split the day’s matches with each man winning and losing one apiece.
Today we’ll go over the basics of this common statistical test, try to put in “Plain English” and in a first, I wrote a basic script so you can test it from the comfort of your home at the link here. That’s right: think of any two wrestlers and you can test there if one of them figured the other out.
All you have to do is plug in the number of wins, total matches contested, and then what you think the split should be. Plug all those in and hit Run Test and it’ll tell you whether it seems that one wrestler figured out the other or not.
Now if you’d actually like to understand the thinking behind it then continue on to the next section, if not, the link is below again:
https://ozekianalytics.github.io/BinomialSite/
Binomial Test Explanation
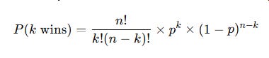
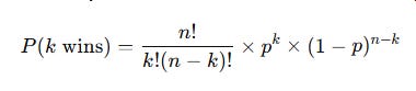
Here’s the equation that’s happening under the hood:
Looks easy, right? I’m kidding of course. Let’s unpack this.
On the left side we have P(k wins) which is the probability that we have k number of wins, k being 6 here.
Next we go to the more complex side of the equation. Please note that ! in math is factorial - which is just the product of all numbers up to n or k or whatever you put in front of the !. So 2! would be 1*2=2. 3! is 1*2*3=6 and so on.
Let’s take them one at a time. The first term is meant to calculate how many different ways we could get that outcome. Using our example if there were 7 matches of which Hoshoryu won 6, then there are 7 different ways that could have occurred. Onosato could have won their first match and then lost the next 6. He could’ve lost the first match, won the second, then lost the next 5 and so on. Visualized alternatively here’s how their wins and losses could have gone:
Scenario 1: LWWWWWW
Scenario 2: WLWWWWW
and so on. This is easier because we know there’s only 7 different ways it could’ve worked out, but here’s the math.
7!=5040
6!=720
5040 will be divided by 720*(7-6)! and 1! is going to be 1 (1*1=1) so 5040/720 which is indeed equal to 7.
The next term is p raised to the k. That’s actually straightforwardly the odds of anything happening for a given probability. Using our assumed 50% odds of Onosato winning against Hoshoryu, the odds of him winning a given match is 50%. To calculate the odds of him winning two in a row that’s 50% * 50% which equals 25%.
With our example the probability is 50% and the number of wins is 6 so it’ll be .5^6=.015625
In English now we’ve calculated how many different ways we could’ve gotten this exact outcome. We then calculated the probability of the exact outcome. Let’s unpack the final terms and wrap this up.
Looks worse than it is. We know that p is our probability aka 50% (or whatever you want to use). N is the number of matches and k is the number of wins. Hopefully reading that helped crystallize it for you but it’s close to the flipside of the prior term. We calculated how likely it was to get exactly 6 wins, and now we calculate how likely it is to get 1 loss. That’s all. By the way, (1-.5)^(7-6) =.5^1=.5
So after going through we can see that we basically looked to see how many different ways we could get 6 wins and 1 loss, and then multiplied it by the probability of getting 6 wins multiplied by the probability of getting 1 loss. That’s all there is to a binomial hypothesis test.
So our final equation is:
7*.015625*.5=.0546875 or 5.4% for 6 wins exactly which is just above our p threshold of .05 or 5%.
Technically speaking our question is odds that Hoshoryu would have won this many matches or more. That’s a little confusing why we’re doing a cumulative probability function rather than just the specific probability of 6 wins. Think of it with coin flips: if we got heads 60 times in 100 flips, testing how likely you are to get heads 60 times is pretty meaningless on its own; you’re unlikely to get heads exactly 50 times on its own too rather we want to know the probability that heads that many times or more in that many coin flips is evidence of a biased coin. Testing the exact number on its own is just unlikely to tell us much.
For the record the same equation for 7 wins no losses is .0078125 so if you run it with the default values on the site that’s why you’ll see .0625.
Hopefully that makes sense, but if that feels a bit arbitrary or using .05 for the P value then you’re not alone and actually a lot of recent stats history is hand wringing and self reflection of how much of stats is founded on round nice numbers like that .05 but here at Ozeki Analytics we’ll leave overturning decades of statistical conventions for after we have better mathematical models for predicting matches. Cheers!
There was a Fusen (injury absence) win for Onosato I’m not counting here




